全讯网-皇冠网_百家乐网_全讯网娱乐 (中国)·官方网站

北理工教師在同位素調控材料物性研究中取得重要進展


近日,北京理工大學化學與化工學院姚子碩研究員在國際頂級期刊《Matter》發表題為“Anisotropic deuteration effects on a molecular ferroelectric”的研究論文。北京理工大學為唯一通訊作者單位,文章實驗部分主要由北京理工大學研究生柳承東和李慧苗完成,北京理工大學宇航學院洪家旺教授在計算方面提供了幫助,姚子碩研究員為文章通訊作者。

自1931年發現氘同位素以來,氘代被廣泛用于調控材料的化學和物理性質。1942年,研究者發現氘代KH2PO4(KDP)后材料的鐵電相變溫度提高107 K,隨后氘代被進一步研究應用于調控材料的導電、磁性、熒光性質等。在目前已知的研究體系中,顯著的氘代效應發生在伴隨質子轉移的強氫鍵結構中,而對于更為普遍的弱氫鍵體系,氘代效應并不明顯,這個問題極大的限制了氘代在物性調控方面的進一步應用。

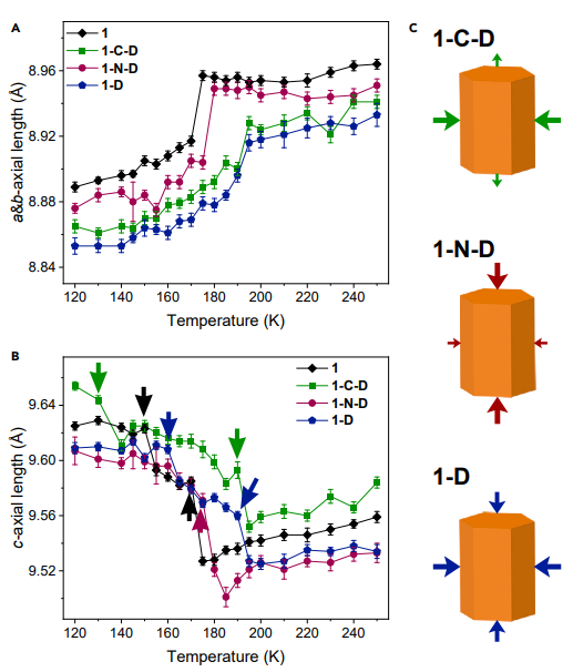
該研究團隊在前期通過結構變化調控材料物理性質的研究基礎( Nat. C  hem.,  2014 , 6,  1079-1083 ;   Nat. Commun. 2019,  10 , 4805;  CCS Chem.  2021, 2, 2464–2472; Nat. Commun. 2021,  12 , 6908; Angew. Chem. Int. Ed.  2023, 62, e202217977;  J. Am. Chem. Soc.  2023, 145, 5545-5552),針對單晶晶格各向異性的結構特征,提出選擇性氘代引入各向異性化學壓力的研究思路,通過對具有三方晶系的硫酸三乙二胺合鈷鐵電化合物進行選擇性氘代,在弱氫鍵功能材料中實現了顯著的氘代效應。當對C-H原子氘代時鐵電窗口溫度從22 K提高到了56 K,自發極化值也增大4倍,而當對N-H原子氘代時,鐵電性質完全消失。通過變溫晶胞參數、倒異空間分析、介電溫譜、電滯回線、以及理論計算等對該現象進行了深入的研究。

該工作率先揭示了各向異性氘代在高效率調控材料鐵電性質方面的關鍵作用,革新了顯著氘代效應通常發生在質子轉移強氫鍵體系的傳統認識,為材料物性調控提供了新的研究思路。

該研究得到了國家自然科學基金(22071009、92061106和21971016)以及北京理工大學青年學者科研基金項目的支持。感謝北京理工大學分析測試中心工作人員的技術支持。

圖1 選擇性氘代調控材料物理性質。

圖2 晶體結構及選擇性氘代。

圖3 單晶晶格的倒異空間分析。

圖4 氘代對材料性質的影響。

圖5 選擇性氘代對晶胞施加各向異性化學壓力。


附課題組簡介:

姚子碩,北京理工大學化學與化工學院副教授,日本九州大學博士、博士后,主要從事力、電、磁等刺激響應分子基單晶材料的研究工作,作為第一作者或通訊作者在 Nat. Chem. (1) , Nat. Commun. (3),  J  . Am. Chem. Soc. (2),  Angew. Chem., Int. Ed. (2)、Matter(1)等高水平期刊發表30余篇研究論文。

陶軍,北京理工大學化學與化工學院特聘教授,國家杰出青年科學基金獲得者。主要從事分子磁性與功能材料研究,在 Chem. Soc. Rev. ,  Nat. Commun.,  J. Am. Chem. Soc. ,  Angew. Chem., Int. Ed. 等高水平學術期刊發表多篇學術論文。


分享到:

澳门顶级赌场娱乐平台| 百家乐官网书包| 黄金岛棋牌游戏下载| 百家乐官网桌现货| 威尼斯人娱乐城博彩网| 固始县| 威尼斯人娱乐城信誉| 百家乐官网赌场走势图| 大发888-大发娱乐城下载| 火命与金命做生意| 百家乐官网游戏高手| 优博百家乐的玩法技巧和规则 | 作弊百家乐官网赌具价格| 大发888网页游戏| 虎在什么方位做生意好| 百家乐赌场策略| 百家乐官网网站东方果博| 威尼斯人娱乐注册网址| 娱乐百家乐官网下载| 金宝博滚球| 百家乐技巧打| 红树林百家乐官网的玩法技巧和规则| 大发888为什么这么卡| 如何玩百家乐扑克| 百家乐官网神算子| 澳门威尼斯人娱乐| 百家乐微乐| 百家乐网上赌博| 百家乐官网mediacorp| 大发888组件下载| 真钱百家乐五湖四海全讯网| 百家乐官网二代皇冠博彩| 大发888为什么卡| 足球百家乐投注计算| 百家乐官网备用网址| 多伦多百家乐的玩法技巧和规则| 百家乐官网游戏玩法技巧| 天朝博彩论坛| 澳门百家乐网上娱乐场开户注册 | 大发888截图| 爱婴百家乐的玩法技巧和规则|